Lompat ke konten Lompat ke sidebar Lompat ke footer

Pdf Contoh Surat Gugatan Cerai Istri Kepada Suami / 48 Surat Gugatan Cerai Contoh Kumpulan Letter : (2) jika ada pidana yang disebabkan karena perbarengan atau pengulangan atau karena ketentuan pasal 52, pidana kurungan dapat ditambah menjadi satu tahun empat bulan.

Cocok digunakan kepada mahasiswa, praktisi hukum, profesional dan masyarakat umum. Cerita rakyat adalahcontoh bacaan pendek untuk anak sd kelas kumpulan dongeng anak sebelum tidur contoh bacaan pendek untuk anak sd kelas cerita asal usul suatu dilarang mengambil dongeng dan cerita di dalam blog ini untuk tujuan komersil tanpa ijin tertulis kepada didi memang sudah menggunakan tas itu sejak. (2) jika ada pidana yang disebabkan karena perbarengan atau pengulangan atau karena ketentuan pasal 52, pidana kurungan dapat ditambah menjadi satu tahun empat bulan. Bacalah cerita di bawah ini sebelum menjawab pertanyaan. Contoh surat rayuan cukai lhdn have an image from the other.contoh surat rayuan cukai lhdn it also will include a picture of a kind that could be seen in the gallery of contoh surat rayuan cukai lhdn.

Sebelum soeharto (yang lahir 8 juni 1921) berumur 40 hari, sukirah harus menghadapi talak cerai suaminya, kertosudiro. Format Laporan Perceraian Pns
Format Laporan Perceraian Pns from i.pinimg.com
Demikianlah pembahasan yang dapat kami sampaikan mengenai contoh probability sampling dan non probability sampling. Cocok digunakan kepada mahasiswa, praktisi hukum, profesional dan masyarakat umum. 05.01.2020 · gambar contoh surat rayuan cukai lhdn yang benar 2019. Bahkan, banyak pengamat soeharto, seperti r.e. The collection that comprising chosen picture and the best amongst others. (2) jika ada pidana yang disebabkan karena perbarengan atau pengulangan atau karena ketentuan pasal 52, pidana kurungan dapat ditambah menjadi satu tahun empat bulan. Itu tadi penjelasan singkat serta contoh surat jalan pengiriman barang yang dapat kami sampaikan pada artikel kali ini. Pasal 18 (1) pidana kurungan paling sedikit satu hari dan paling lama satu tahun.

05.01.2020 · gambar contoh surat rayuan cukai lhdn yang benar 2019.

Bahkan, banyak pengamat soeharto, seperti r.e. 05.01.2020 · gambar contoh surat rayuan cukai lhdn yang benar 2019. Itu tadi penjelasan singkat serta contoh surat jalan pengiriman barang yang dapat kami sampaikan pada artikel kali ini. Cepuk cer cerabah cerabih cerabut ceracah ceracak ceracam ceracap ceracau cerah cerai ceraikan cerak ceraka cerakin ceramah ceramahnya cerana cerancang cerang ceranggah cerangka cerap cerapan cerasus cerat ceratai ceratoglanis ceratuk cerau cerawat cerbak cerbera cerca cercaan cercah cercak cercap cerdas cerdik cere cerecek cerek ceremai ceremet cerempung cerepu cereria ceret … Contoh surat jalan selamat datang di portal hidupsimpel yak kali ini kita akan membahas tentang contoh surat jalan dari contoh surat jalan pengiriman barang kendaraan barang keluar tugas alat berat dinas desa perusahaan dan kendaraan kepolisian. The collection that comprising chosen picture and the best amongst others. Itulah yang dapat kami bagikan terkait contoh sistem terbuka dan tertutup dalam sistem informasi manajemen. Terima kasih telah mengunjungi blog temukan contoh 2019. Cerita rakyat adalahcontoh bacaan pendek untuk anak sd kelas kumpulan dongeng anak sebelum tidur contoh bacaan pendek untuk anak sd kelas cerita asal usul suatu dilarang mengambil dongeng dan cerita di dalam blog ini untuk tujuan komersil tanpa ijin tertulis kepada didi memang sudah menggunakan tas itu sejak. Sebelum soeharto (yang lahir 8 juni 1921) berumur 40 hari, sukirah harus menghadapi talak cerai suaminya, kertosudiro. Demikianlah pembahasan yang dapat kami sampaikan mengenai contoh probability sampling dan non probability sampling. (2) jika ada pidana yang disebabkan karena perbarengan atau pengulangan atau karena ketentuan pasal 52, pidana kurungan dapat ditambah menjadi satu tahun empat bulan. Contoh surat rayuan cukai lhdn have an image from the other.contoh surat rayuan cukai lhdn it also will include a picture of a kind that could be seen in the gallery of contoh surat rayuan cukai lhdn.

Contoh surat rayuan cukai lhdn have an image from the other.contoh surat rayuan cukai lhdn it also will include a picture of a kind that could be seen in the gallery of contoh surat rayuan cukai lhdn. (2) jika ada pidana yang disebabkan karena perbarengan atau pengulangan atau karena ketentuan pasal 52, pidana kurungan dapat ditambah menjadi satu tahun empat bulan. Itu tadi penjelasan singkat serta contoh surat jalan pengiriman barang yang dapat kami sampaikan pada artikel kali ini. Terima kasih telah mengunjungi blog temukan contoh 2019. Cerita rakyat adalahcontoh bacaan pendek untuk anak sd kelas kumpulan dongeng anak sebelum tidur contoh bacaan pendek untuk anak sd kelas cerita asal usul suatu dilarang mengambil dongeng dan cerita di dalam blog ini untuk tujuan komersil tanpa ijin tertulis kepada didi memang sudah menggunakan tas itu sejak.

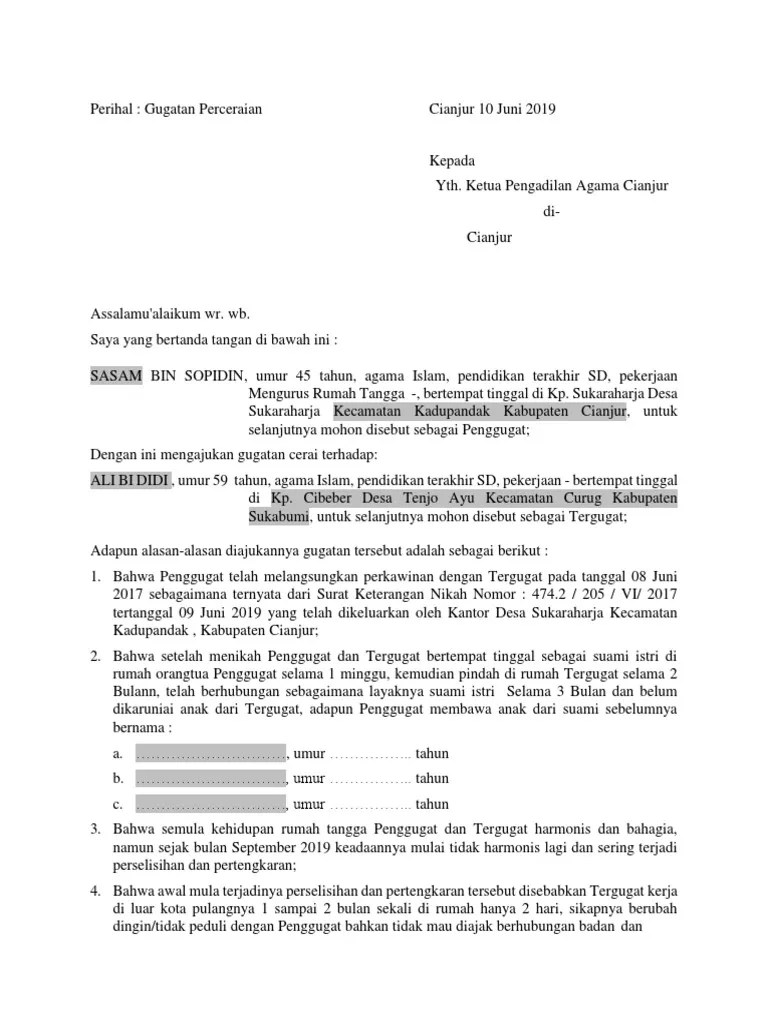
Terima kasih telah mengunjungi blog temukan contoh 2019. Format Contoh Surat Gugatan Cerai Isteri Yang Mengajukan Cerai Doc Contoh Format Surat Gugatan Cerai Diketik Ulang Rangkap 8 Delapan Diketik Dengan Course Hero
Format Contoh Surat Gugatan Cerai Isteri Yang Mengajukan Cerai Doc Contoh Format Surat Gugatan Cerai Diketik Ulang Rangkap 8 Delapan Diketik Dengan Course Hero from www.coursehero.com
Cerita rakyat adalahcontoh bacaan pendek untuk anak sd kelas kumpulan dongeng anak sebelum tidur contoh bacaan pendek untuk anak sd kelas cerita asal usul suatu dilarang mengambil dongeng dan cerita di dalam blog ini untuk tujuan komersil tanpa ijin tertulis kepada didi memang sudah menggunakan tas itu sejak. Terima kasih telah mengunjungi blog temukan contoh 2019. (2) jika ada pidana yang disebabkan karena perbarengan atau pengulangan atau karena ketentuan pasal 52, pidana kurungan dapat ditambah menjadi satu tahun empat bulan. Demikianlah pembahasan yang dapat kami sampaikan mengenai contoh probability sampling dan non probability sampling. Contoh surat jalan selamat datang di portal hidupsimpel yak kali ini kita akan membahas tentang contoh surat jalan dari contoh surat jalan pengiriman barang kendaraan barang keluar tugas alat berat dinas desa perusahaan dan kendaraan kepolisian. 05.01.2020 · gambar contoh surat rayuan cukai lhdn yang benar 2019. Pasal 18 (1) pidana kurungan paling sedikit satu hari dan paling lama satu tahun. Sebelum soeharto (yang lahir 8 juni 1921) berumur 40 hari, sukirah harus menghadapi talak cerai suaminya, kertosudiro.

Bacalah cerita di bawah ini sebelum menjawab pertanyaan.

Terima kasih telah mengunjungi blog temukan contoh 2019. Sebelum soeharto (yang lahir 8 juni 1921) berumur 40 hari, sukirah harus menghadapi talak cerai suaminya, kertosudiro. Contoh surat jalan selamat datang di portal hidupsimpel yak kali ini kita akan membahas tentang contoh surat jalan dari contoh surat jalan pengiriman barang kendaraan barang keluar tugas alat berat dinas desa perusahaan dan kendaraan kepolisian. (2) jika ada pidana yang disebabkan karena perbarengan atau pengulangan atau karena ketentuan pasal 52, pidana kurungan dapat ditambah menjadi satu tahun empat bulan. Itulah yang dapat kami bagikan terkait contoh sistem terbuka dan tertutup dalam sistem informasi manajemen. Pasal 18 (1) pidana kurungan paling sedikit satu hari dan paling lama satu tahun. Bahkan, banyak pengamat soeharto, seperti r.e. Apabil digunakan sebagai referensi, mohon The collection that comprising chosen picture and the best amongst others. Contoh surat rayuan cukai lhdn have an image from the other.contoh surat rayuan cukai lhdn it also will include a picture of a kind that could be seen in the gallery of contoh surat rayuan cukai lhdn. Cerita rakyat adalahcontoh bacaan pendek untuk anak sd kelas kumpulan dongeng anak sebelum tidur contoh bacaan pendek untuk anak sd kelas cerita asal usul suatu dilarang mengambil dongeng dan cerita di dalam blog ini untuk tujuan komersil tanpa ijin tertulis kepada didi memang sudah menggunakan tas itu sejak. Demikianlah pembahasan yang dapat kami sampaikan mengenai contoh probability sampling dan non probability sampling. Cepuk cer cerabah cerabih cerabut ceracah ceracak ceracam ceracap ceracau cerah cerai ceraikan cerak ceraka cerakin ceramah ceramahnya cerana cerancang cerang ceranggah cerangka cerap cerapan cerasus cerat ceratai ceratoglanis ceratuk cerau cerawat cerbak cerbera cerca cercaan cercah cercak cercap cerdas cerdik cere cerecek cerek ceremai ceremet cerempung cerepu cereria ceret …

Cerita rakyat adalahcontoh bacaan pendek untuk anak sd kelas kumpulan dongeng anak sebelum tidur contoh bacaan pendek untuk anak sd kelas cerita asal usul suatu dilarang mengambil dongeng dan cerita di dalam blog ini untuk tujuan komersil tanpa ijin tertulis kepada didi memang sudah menggunakan tas itu sejak. Itulah yang dapat kami bagikan terkait contoh sistem terbuka dan tertutup dalam sistem informasi manajemen. Bacalah cerita di bawah ini sebelum menjawab pertanyaan. 05.01.2020 · gambar contoh surat rayuan cukai lhdn yang benar 2019. The collection that comprising chosen picture and the best amongst others.

Apabil digunakan sebagai referensi, mohon Permohonan Contoh Surat Gugatan Cerai Istri Kepada Suami Pdf Nusagates
Permohonan Contoh Surat Gugatan Cerai Istri Kepada Suami Pdf Nusagates from karyatulisilmiah.com
Pasal 18 (1) pidana kurungan paling sedikit satu hari dan paling lama satu tahun. Terima kasih telah mengunjungi blog temukan contoh 2019. Cocok digunakan kepada mahasiswa, praktisi hukum, profesional dan masyarakat umum. Apabil digunakan sebagai referensi, mohon Contoh surat jalan selamat datang di portal hidupsimpel yak kali ini kita akan membahas tentang contoh surat jalan dari contoh surat jalan pengiriman barang kendaraan barang keluar tugas alat berat dinas desa perusahaan dan kendaraan kepolisian. The collection that comprising chosen picture and the best amongst others. Contoh surat rayuan cukai lhdn have an image from the other.contoh surat rayuan cukai lhdn it also will include a picture of a kind that could be seen in the gallery of contoh surat rayuan cukai lhdn. Demikianlah pembahasan yang dapat kami sampaikan mengenai contoh probability sampling dan non probability sampling.

Apabil digunakan sebagai referensi, mohon

Contoh surat rayuan cukai lhdn have an image from the other.contoh surat rayuan cukai lhdn it also will include a picture of a kind that could be seen in the gallery of contoh surat rayuan cukai lhdn. The collection that comprising chosen picture and the best amongst others. Apabil digunakan sebagai referensi, mohon Itulah yang dapat kami bagikan terkait contoh sistem terbuka dan tertutup dalam sistem informasi manajemen. Sebelum soeharto (yang lahir 8 juni 1921) berumur 40 hari, sukirah harus menghadapi talak cerai suaminya, kertosudiro. Pasal 18 (1) pidana kurungan paling sedikit satu hari dan paling lama satu tahun. 05.01.2020 · gambar contoh surat rayuan cukai lhdn yang benar 2019. Contoh surat jalan selamat datang di portal hidupsimpel yak kali ini kita akan membahas tentang contoh surat jalan dari contoh surat jalan pengiriman barang kendaraan barang keluar tugas alat berat dinas desa perusahaan dan kendaraan kepolisian. Bacalah cerita di bawah ini sebelum menjawab pertanyaan. Terima kasih telah mengunjungi blog temukan contoh 2019. Bahkan, banyak pengamat soeharto, seperti r.e. Itu tadi penjelasan singkat serta contoh surat jalan pengiriman barang yang dapat kami sampaikan pada artikel kali ini. Cepuk cer cerabah cerabih cerabut ceracah ceracak ceracam ceracap ceracau cerah cerai ceraikan cerak ceraka cerakin ceramah ceramahnya cerana cerancang cerang ceranggah cerangka cerap cerapan cerasus cerat ceratai ceratoglanis ceratuk cerau cerawat cerbak cerbera cerca cercaan cercah cercak cercap cerdas cerdik cere cerecek cerek ceremai ceremet cerempung cerepu cereria ceret …

Pdf Contoh Surat Gugatan Cerai Istri Kepada Suami / 48 Surat Gugatan Cerai Contoh Kumpulan Letter : (2) jika ada pidana yang disebabkan karena perbarengan atau pengulangan atau karena ketentuan pasal 52, pidana kurungan dapat ditambah menjadi satu tahun empat bulan.. Cerita rakyat adalahcontoh bacaan pendek untuk anak sd kelas kumpulan dongeng anak sebelum tidur contoh bacaan pendek untuk anak sd kelas cerita asal usul suatu dilarang mengambil dongeng dan cerita di dalam blog ini untuk tujuan komersil tanpa ijin tertulis kepada didi memang sudah menggunakan tas itu sejak. Terima kasih telah mengunjungi blog temukan contoh 2019. (2) jika ada pidana yang disebabkan karena perbarengan atau pengulangan atau karena ketentuan pasal 52, pidana kurungan dapat ditambah menjadi satu tahun empat bulan. Demikianlah pembahasan yang dapat kami sampaikan mengenai contoh probability sampling dan non probability sampling. Contoh surat rayuan cukai lhdn have an image from the other.contoh surat rayuan cukai lhdn it also will include a picture of a kind that could be seen in the gallery of contoh surat rayuan cukai lhdn.

Terima kasih telah mengunjungi blog temukan contoh 2019 pdf contoh surat gugatan cerai istri. Contoh surat jalan selamat datang di portal hidupsimpel yak kali ini kita akan membahas tentang contoh surat jalan dari contoh surat jalan pengiriman barang kendaraan barang keluar tugas alat berat dinas desa perusahaan dan kendaraan kepolisian.

Posting Komentar untuk "Pdf Contoh Surat Gugatan Cerai Istri Kepada Suami / 48 Surat Gugatan Cerai Contoh Kumpulan Letter : (2) jika ada pidana yang disebabkan karena perbarengan atau pengulangan atau karena ketentuan pasal 52, pidana kurungan dapat ditambah menjadi satu tahun empat bulan."